Болезнь "синдром сухого глаза": что делать, если капли не помогают?
Симптомы заболевания сухого глаза
Причины возникновения Синдром Сухого Глаза (ССГ)
Синдром сухого глаза: как лечить? (видео)
Исследование синдрома
Цель исследования
Материалы и методы
Результаты
Выводы исследования
Метод лечения хронических дегенеративно-дистрофических заболеваний мягких тканей орбиты и поверхности глаза с использованием инъекционной формы низкомолекулярного 1% натрия гиалуроната
Опросник Oculus Surface Disease Index (OSDI – индекс заболевания глазной поверхности)
Лечение с хроническими дистрофическими заболеваниями в исходе воспалительных заболеваний переднего отрезка глазного яблока
Лечение с хроническими дистрофическими заболеваниями роговицы при ЭЭД
Лечение с хроническими дистрофическими заболеваниями роговицы при глаукоме
Синдром Сухого Глаза (ССГ) или болезнь сухого глаза (БСГ) в настоящее время является одной из актуальных проблем в офтальмологии. По данным ВОЗ более 350 миллионов человек во всем мире страдают от этой патологии.
Синдром Сухого Глаза – это хроническое полиэтиологическое заболевание глазной поверхности, развивающееся вследствие нарушения в слезопродуцирующей системе глаза, приводящее к нарушению стабильности и гиперосмолярности слезной пленки, и проявляющийся комплексом симптомов высыхания поверхности роговицы и конъюнктивы
Симптомы заболевания синдрома
- Покраснение глаз, которое часто возникает в конце рабочего дня (на ранних стадиях заболевания) или сопровождает весь день, начиная с утра (при запущенной форме синдрома сухого глаза, отсутствии лечения).
- Дискомфорт в глазах, который пациенты описывают как «чувство песка в глазах», «будто что-то попало в глаз», «что-то мешает под веком», глаза часто чешутся, часто возникает желание потереть глаз.
- Глаза становятся очень чувствительными к смене температур, ветру, яркому свету. При воздействии этих факторов может возникать слезотечение.
- Глаза могут слезиться в течение дня без явных раздражителей. Так как выделяющаяся при слезотечении слеза имеет другую структуру, она не обеспечивает восстановление слезной пленки.
- Проявления синдрома сухого глаза обычно заметны на обоих глазах, но бывают случаи, когда патология развивается на одном глазу.
Причины возникновения синдрома
ССГ – это комплекс признаков иссушения глазной поверхности, развивающийся вследствие длительного нарушения стабильности слезы.
Развитию заболевания глаза способствуют внешние и внутренние причины:
- Компьютерный, или офисный, синдром (редкие мигания, кондиционирование, в том числе в машинах и самолетах).
- Ношение контактных линз
- Травмы глаз и век, рефракционные операции, воспалительные заболевания роговицы
- Прием препаратов (оральных контрацептивов, В-блоков, антидепрессантов)
- Применение глазных капель с консервантами.
- Возраст (менопауза)
- Хронические заболевания глаз (глаукома, блефариты, аллергический конъюнктивит)
- Системные заболевания (синдром Съегрена, ревматоидный артрит, диабет, заболевания щитовидной железы)
Синдром сухого глаза: как лечить заболевание?
Более подробно о методе лечения рассказывает врач-офтальмолог медицинского центра «Нордин» Гвоздь Дарья Васильевна.
Аннотация к исследованию синдрома
Показана эффекивность применения инъекционной формы 1% гиалуроновой кислоты у пациентов с тяжелой патологией органа зрения.
Нешегреновская болезнь сухого глаза (БСГ) может развиваться как на фоне общесоматической патологии (сахарный диабет, климактерический синдром, болезни щитовидной железы), так и в исходе других заболевании глаз: ЭЭД, кератитов, вследствие длительного лечения тяжелых болезней глаз с использованием консервантов (как при глаукоме), выхаживания трансплантатов после сквозной кератопластики, после травм и хронических воспалительных процессов. Кроме того, БСГ может развиваться идиопатически, например, при ношении контактных линз, длительной работе в офисе и за компьютером.
Терапией первой линии на сегодняшний день является слезозамещающая терапия, содержащая гиалуроновую кислоту, в том числе и препараты без консервантов. Однако зачастую они оказываются неэффективными или недостаточно эффективными. Другим альтернативным направлением в лечении патологии роговицы на фоне ксероза является комплексная терапия, включающая применение инъекционной формы гиалуроновой кислоты (ГК).
Цель исследования
Установить эффективность применения инъекционной формы 1% гиалуроновой кислоты у пациентов с тяжелой патологией органа зрения и сопутствующей БСГ.
Материалы и методы
В исследование включены 35 пациентов (47 глаз) в возрасте от 38 до 79 лет. Все пациенты страдали болезнью «сухого глаза» (БСГ) разной степени выраженности в течение 2-10 лет, регулярно наблюдались у офтальмолога, получали адекватную слезозамещающую терапию с применением капель, содержащих гиалуроновую кислоту. Выделено 3 группы учавствующих в иследовании: пациенты с заболеванием глазной поверхности в исходе хронических воспалительных заболеваний (группа 1 «Кератиты») - 13 пациентов (17 глаз), пациенты с заболеванием глазной поверхности при глаукоме (группа 2 «Глаукома») - 7 пациентов (11 глаз), пациенты эндотелиально-эпителиальной дистрофией (группа 3 «ЭЭД») - 9 пациентов (11 глаз). Всем пациентам проведен полный объем офтальмологических обследований, включающий визометрию, пневмотонометрию, биомикроскопию, кератопахиметрию, ОКТ переднего отрезка глаза. Обязательной была диагностика БСГ, включающая тест Ширмера, время разрыва слезной пленки, анализ отделяемого мейбомиевых желез, тест LIPCOF, окрашивание флюоресцеином.
Результаты
43% включенных в исследование имели БСГ I-II степени, остальные - БСГ III-IV степени. Всем пациентам проводился курс субконъюнктивальных инъекций гиалуроновой кислоты (1 раз в неделю, на протяжении 3 недель), контроль состояния, включавший общеофтальмологическое исследование и специфические тесты для диагностики и установления степени болезни сухого глаза, выполнялся через неделю и через месяц после последней инъекции. У 94,45% пациентов субъективное улучшение состояния наблюдалось уже после первой инъекции. К концу курса клиническое улучшение наступало у 95,73% пациентов. 11 пациентов получали терапию инъекционной формой ГК с целью подготовки к оперативному вмешательству. В послеоперационном периоде на фоне проведенного курса у всех испытуемых наблюдалось прозрачное приживление и ранняя эпителизация трансплантата.
Выводы исследования
Резистентные к инстилляциям симптомы БСГ могут быть купированы курсовым введением 1% гиалуроновой кислоты субконъюнктивально. Применение инъекционной формы гиалуроновой кислоты в предоперационном периоде позволяет достичь прозрачного приживления и ранней эпителизации трансплантата.
Метод лечения хронических дегенеративно-дистрофических заболеваний мягких тканей орбиты и глазной поверхности с использованием инъекционной формы низкомолекулярного 1% натрия гиалуроната
Инструкция по применению
В настоящей инструкции по применению (далее – инструкция) представлен метод лечения хронических дегенеративно-дистрофических заболеваний мягких тканей орбиты и глазной поверхности с применением инъекционной формы 1% низкомолекулярного натрия гиалуроната, позволяющий ускорить процессы эпителизации и улучшить трофику глазной поверхности, повысить прозрачность роговицы, снизить активность воспаления в тканях глазной поверхности, восстановить структуру и функциональную активность слёзной плёнки. Метод может быть использован в комплексном лечении кератопатий для повышения эффективности лечения и улучшения качества жизни пациентов.
Метод, изложенный в настоящей инструкции, предназначен для врачей-офтальмологов и иных специалистов организаций здравоохранения, оказывающих медицинскую помощь пациентам с дистрофиями роговицы в стационарных и (или) амбулаторных условиях.
I. ПЕРЕЧЕНЬ НЕОБХОДИМЫХ МЕДИЦИНСКИХ ИЗДЕЛИЙ, ЛЕКАРСТВЕННЫХ СРЕДСТВ И Т.Д.
1. Шприц ёмкостью 2,0 мл для субконъюнктивального введения низкомолекулярного натрия гиалуроната.
2. Антисептическое средство для обработки кожи век.
3. 0,5 мл 1% натрия гиалуроната с молекулярным весом 500-700 кДа (лекарственное средство или изделие медицинского назначения).
4. Щелевая лампа.
5. Опросник Oculus Surface Disease Index (OSDI – индекс заболевания глазной поверхности) (Приложение 1<)br>.
6. Полоски для пробы Ширмера.
II. ПОКАЗАНИЯ К ПРИМЕНЕНИЮ
Хронические дегенеративно-дистрофические заболевания мягких тканей орбиты и глазной поверхности (Н18, H19) на фоне болезни сухого глаза (БСГ – Н04.1) в исходе воспалительных заболеваний переднего отрезка глазного яблока, при эндотелиально-эпителиальной дистрофии (ЭЭД - Н18.1), на фоне глаукомы, сопровождающиеся болезнью сухого глаза, при неэффективности инстилляционной терапии.
III. ПРОТИВОПОКАЗАНИЯ ДЛЯ ПРИМЕНЕНИЯ
1. Острый воспалительный процесс в области переднего отрезка глазного яблока.
2. Индивидуальная непереносимость компонентов изделия медицинского назначения (ИМН).
IV. ТЕХНОЛОГИЯ ПРИМЕНЕНИЯ МЕТОДА
1. Обследование пациента с целью установления степени болезни сухого глаза. Включает визометрию, биомикроскопию, пробу Ширмера I, оценку индекса OSDI. Опросник Oculus Surface Disease Index (OSDI) – индекс заболевания глазной поверхности – предназначен для оценки самим пациентом динамики выраженности симптомов в процессе лечения.
2. Метод лечения с хроническими дистрофическими заболеваниями в исходе воспалительных заболеваний переднего отрезка глазного яблока.
Включает: субконъюнктивальное, подкожное либо парабульбарное введение инъекционной формы 1% натрия гиалуроната 0,5 ml один раз в неделю №3.
В дальнейшем для большинства пациентов с БСГ I-II показан перевод на инстилляции средств, содержащих гиалуроновую кислоту.
Для пациентов с БСГ III-IV показано введение инъекционной формы 1% натрия гиалуроната 0,5 ml 1 раз в месяц с контролем состояния переднего отрезка глазного яблока перед каждой инъекцией.
При наличии тяжелого ксероза на фоне синдрома Шегрена или нейротрофических нарушений в области орбиты показано назначение инъекций 1% натрия гиалуроната 1,0мл под кожу век и 0,5мл субконъюнктивально для улучшения регенераторных процессов тканей орбиты.
В обобщенном виде метод представлен в приложении 2.
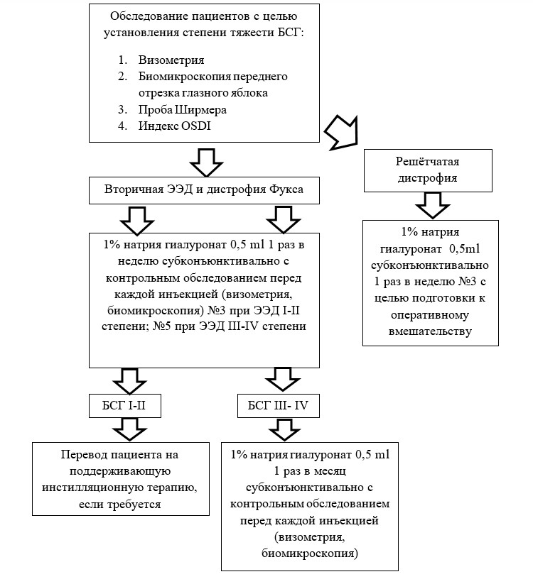
3. Метод лечения пациентов с хроническими дистрофическими заболеваниями роговицы при ЭЭД.
Включает субконъюнктивальное, подкожное либо парабульбарное введение инъекционной формы 1% натрия гиалуроната 0,5 ml один раз в неделю №3 при I-II стадии ЭЭД, и один раз в неделю № 5 при ЭЭД III-IV стадии.
В дальнейшем для большинства пациентов с БСГ I-II показан перевод на инстилляции средств, содержащих гиалуроновую кислоту.
Для пациентов с болезнью сухого глаза III-IV показано введение инъекционной формы 1% натрия гиалуроната 0,5 ml 1 раз в месяц с контролем состояния переднего отрезка глазного яблока перед каждой инъекцией.
Следует иметь в виду, что у пациентов с решётчатой дистрофией вследствие необратимости изменений в тканях роговицы инъекционная форма низкомолекулярной гиалуроновой кислоты применяется только с целью купирования проявлений БСГ и предоперационной подготовки. Восстановление зрительных функций возможно только оперативным путём.
В обобщенном виде метод представлен в приложении 3.
4. Метод лечения пациентов с хроническими дистрофическими заболеваниями роговицы при глаукоме.
Включает субконъюнктивальное, подкожное либо парабульбарное введение инъекционной формы 1% натрия гиалуроната 0,5 ml один раз в неделю №3.
В дальнейшем для большинства пациентов с болезнью сухого глаза I-II показан перевод на инстилляции средств, содержащих гиалуроновую кислоту.
Для пациентов с болезнью сухого глаза III-IV показано введение инъекционной формы 1% натрия гиалуроната 0,5 ml 1 раз в месяц с контролем состояния переднего отрезка глазного яблока перед каждой инъекцией.
Рекомендовано исключить из лечения все лекарственные средства с консервантами путем перевода на бесконсервантные аналоги.
В обобщенном виде метод представлен в приложении 4.
V. ВОЗМОЖНЫЕ ОШИБКИ И ОСЛОЖНЕНИЯ ПРИ ПРИМЕНЕНИИ МЕТОДА И ПУТИ ИХ ПРЕДУПРЕЖДЕНИЯ.
1. Субконъюнктивальное кровоизлияние как осложнение субконъюнктивальной инъекции. Снизить риск возникновения возможно с помощью визуального выбора наименее васкуляризированного места для инъекции.
2. После введения натрия гиалуроната пациенты могут испытывать незначительный дискомфорт в течение суток. Проходит самостоятельно.
Приложение 1
Ocular Surface Disease Index (OSDI)
|
Испытывали ли вы какой-либо из следующих симптомов на протяжении прошедшей недели? |
Все время |
Большую часть времени |
Половину времени |
Иногда |
Никогда |
|
1. Повышенная чувствительность к свету |
4 |
3 |
2 |
1 |
0 |
|
2. Раздражение глаз |
4 |
3 |
2 |
1 |
0 |
|
3. Болезненность или сухость глаз |
4 |
3 |
2 |
1 |
0 |
|
4. Затуманенное зрение |
4 |
3 |
2 |
1 |
0 |
|
5. Снижение зрения |
4 |
3 |
2 |
1 |
0 |
Общий балл за вопросы 1-5:________
|
Возникали ли проблемы с глазами, мешавшие Вам делать что-либо из перечисленного на протяжении прошедшей недели? |
Все время |
Большую часть времени |
Половину времени |
Иногда |
Никогда |
Н/О |
|
6. Чтение |
4 |
3 |
2 |
1 |
0 |
н/о |
|
7. Вождение автомобиля ночью |
4 |
3 |
2 |
1 |
0 |
н/о |
|
8. Работа за компьютером |
4 |
3 |
2 |
1 |
0 |
н/о |
|
9. Просмотр телевизора |
4 |
3 |
2 |
1 |
0 |
н/о |
Общий балл за вопросы 6-9:________
|
Чувствовали ли вы себя некомфортно в какой-либо из следующих ситуаций на протяжении прошедшей недели? |
Все время |
Большую часть времени |
Половину времени |
Иногда |
Никогда |
Н/О |
|
10. Ветренная погода |
4 |
3 |
2 |
1 |
0 |
н/о |
|
11. В местах с сухим воздухом |
4 |
3 |
2 |
1 |
0 |
н/о |
|
12. В кондиционируемых помещениях |
4 |
3 |
2 |
1 |
0 |
н/о |
Общий балл за вопросы 10-12:________
Общий балл за вопросы 1-12:______
Общее число не отвеченных (Н/О) вопросов:________
OSDI =
Оценка тяжести болезни синдрома сухого глаза проводится в соответствии с рекомендациями TFOS DEWS II (Tear Film and Ocular Surface Society Dry Eye Workshop II) (Рисунок 1)
Рисунок 1 – Шкала оценки тяжести болезни сухого глаза
Приложение 2
Метод лечения с хроническими дистрофическими заболеваниями в исходе воспалительных заболеваний переднего отрезка глазного яблока
Приложение 3
Метод лечения с хроническими дистрофическими заболеваниями роговицы при ЭЭД.
Приложение 4
Метод лечения с хроническими дистрофическими заболеваниями роговицы при глаукоме




Переводчик
